Danskernes forbrug af æg
09. marts 2026
Den nationale undersøgelse af danskernes kost og fysiske aktivitet, også kaldet DANSDA, giver indblik i danskernes kostvaner for perioden 2021-2024. Undersøgelsen viser, hvad vi spiser, hvilke næringsstoffer vi får, og hvordan kostvanerne varierer på tværs af befolkningen. I denne artikel dykker vi ned i æg.
Her kan du læse mere om Danskernes kostvaner 2021-2024
Danskernes indtag af æg
De nyeste tal fra DANSDA 2021–2024 viser, at æg er en fast del af danskernes kost. Indtaget stiger med alderen, og voksne spiser væsentligt flere æg end børn og unge.
Det mediane indtag (g /10 MJ):
- Børn og unge 4-10 år: 21 g /10 MJ
- Unge 11-17 år: 23 g /10 MJ
- Voksne 18-80 år: 29 g /10 MJ
Det svarer til, at børn spiser omtrent et kvart æg om dagen, unge cirka en tredjedel, og voksne knap et halvt æg om dagen.
Indtaget er lavest blandt de 4–10‑årige og stiger derefter gradvist. Blandt de 11–17‑årige ligger drengenes medianindtag en smule lavere end pigernes med hhv. 22 og 24 g /10 MJ. Ser man derimod på det gennemsnitlige indtag, har drenge i alderen 11–17 år et højere indtag på 31 g /10 MJ sammenlignet med pigernes 28 g /10 MJ (tal ikke vist). Det peger på, at en mindre gruppe af drengene har et relativt højt indtag af æg, hvilket trækker gennemsnittet op.
Blandt voksne ligger kvinder lidt over mænd med medianindtag på hhv. 33 og 26 g /10 MJ.

Kilde: DTU Fødevareinstituttet - Danskernes Kostvaner 2021-2024, tabel 4.10
NB: Der anvendes medianværdier, da medianen beskriver den typiske dansker bedre end gennemsnittet, når data er skævt fordelt - hvilket kostdata næsten altid er.
I en markedsanalyse som Landbrug & Fødevarer i samarbejde med Danske Æg har lavet i 2026, fortæller hovedparten af danskerne, at de spiser æg ”et par gange om ugen”. Her ses desuden, at æg oftere spises af de ældste aldersgrupper.

Kilde: Æg er populære i madkulturen - Landbrug & Fødevarer Jan. 2026
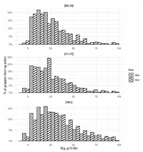
Lavt, middel og højt indtag af æg
DANSDA 2021‑2024 viser, at danskerne har meget forskellige vaner, når det kommer til æg. Æggeindtaget er skævt fordelt – nogle spiser æg næsten dagligt, mens andre sjældent gør det. Ved at se på percentilerne kan man opdele befolkningen i tre tydelige indtagsgrupper: lavt, middel og højt indtag. Denne opdeling giver et klart billede af, hvordan æg indgår i forskellige kostmønstre på tværs af alder og køn.
Tabellen her viser kostens indhold af æg, g /10 MJ (Gennemsnit, spredning, median og percentiler).

Kilde: DTU Fødevareinstituttet - Danskernes Kostvaner 2021-2024, tabel 4.10
Personer med lavt indtag spiser sjældent æg – ofte under et kvart æg om dagen. I analysen svarer det til et indtag mellem:
- 4–10-årige: 4–12 g /10 MJ
- 11–17-årige: 4–11 g /10 MJ
- 18-80-årige: 3–15 g /10 MJ
Dette er gruppen, hvor æg kun sporadisk indgår i kosten, og hvor nogle næsten ikke spiser æg i registreringsugen. Gruppen findes i alle aldersgrupper og blandt begge køn. For mange i denne gruppe er æg ikke et fast element i deres ugentlige måltidsmønster.
Middelgruppen repræsenterer det typiske danske indtag af æg. De fleste danskere befinder sig her, og det daglige indtag ligger mellem:
- 4–10-årige: 12–36 g /10 MJ
- 11–17-årige: 11–39 g /10 MJ
- 18-80-årige: 15–47 g /10 MJ
Dette svarer til ca. et halvt æg om dagen – dvs. 3–4 æg om ugen. Her spises æg regelmæssigt, men ikke nødvendigvis dagligt. Kønsforskellene er små, og mønstret er stabilt på tværs af aldersgrupper.
I den højt-indtagende gruppe indgår æg ofte som en fast del af kosten. Indtaget ligger for aldersgrupperne mellem:
- 4–10-årige: 36–74 g /10 MJ
- 11–17-årige: 39–83 g /10 MJ
- 18-80-årige: 47–96 g /10 MJ
Det svarer til omkring ét helt æg dagligt – eller mere i toppen af gruppen. Denne gruppe består især af voksne. Selvom indtaget er højt, ligger det fortsat inden for normale, ikke-problematiske mængder ifølge kostrådene.
Diagrammet her viser, hvordan indtaget af æg fordeler sig i befolkningen på tværs af tre aldersgrupper og fordelt på køn. For hver aldersgruppe illustrerer søjlerne, hvor stor en andel der ligger på forskellige niveauer af ægindtag (g /10 MJ). På tværs af alle grupper ses en bred variation i indtaget, hvor de fleste ligger i de lavere til moderate intervaller, mens kun få har et meget højt indtag. Diagrammet giver dermed et visuelt overblik over både spredningen og forskellene mellem drenge/mænd og piger/kvinder i hver aldersgruppe.

Kilde: DTU Fødevareinstituttet - Danskernes Kostvaner 2021-2024, figur B4.5
Udvikling af danskernes indtag af æg over tid
Data for indtag bygger på vægtede resultater fra begge kostundersøgelser (2011-2013 samt 2021-2024). Fødevaregrupperne er desuden justeret i kostundersøgelsen 2011‑2013, så de matcher inddelingen i undersøgelsen 2021‑2024.
For at kunne sammenligne og kigge på udviklingen mellem de to kostundersøgelser, er indtaget beregnet pr. 10 MJ for populationen, opdelt i tre aldersgrupper: 4‑10 år, 11‑17 år og 18‑75 år, og for henholdsvis drenge/mænd, piger/kvinder. I 2011‑2013 går voksenkategorien kun op til og med 75 år, hvilket derfor også anvendes i denne beskrivelse af ændringer. Signifikante forskelle (p<0,001) er markeret med * i diagrammet.
Som det kan ses i diagrammet, er indtaget af æg steget markant de sidste 10 år, særligt blandt unge og voksne, hvor stigningen er signifikant. For voksne er der sket en 42 % stigning, og for unge er det sket en stigning på hele 62 %. Det er særligt de unge piger 11-17 år, som trækker medianindtaget op her med en 75 % stigning for dem. Samlet peger udviklingen på, at æg er blevet en mere populær og hyppigere anvendt fødevare på tværs af aldersgrupper. Æg spiller således i dag en markant større rolle i kosten end for ti år siden.

Kilde: DTU Fødevareinstituttet - Danskernes Kostvaner 2021-2024, tabel 8.3
NB: Der anvendes medianværdier, da medianen beskriver den typiske dansker bedre end gennemsnittet, når data er skævt fordelt - hvilket kostdata næsten altid er.
Læs mere om æggets næringsstofbidrag til kosten under Ernæring
Læs mere om danskerens efterlevelse af kostrådene inden for æg under Sundhed
Læs mere om æg her...
Måske er du også interesseret i disse fødevarer...
Kød
Her kan du bl.a. læse om ernæring, sundhed, bæredygtighed, dyrevelfærd, tilberedning, smag, kvalitet og sikkerhed.
Mælk og mejeriprodukter
Her kan du bl.a. læse om ernæring, sundhed, danskernes forbrug, mejeriprodukter, bæredygtighed, dyrevelfærd, kvalitet og sikkerhed.
Fisk
Her kan du bl.a. læse om ernæring, sundhed, bæredygtighed, dyrevelfærd, kvalitet og sikkerhed.
Frugt og grøntsager
Her kan du bl.a. læse om ernæring, sundhed, bæredygtighed, kvalitet og sikkerhed.
Korn
Her kan du bl.a. læse om ernæring, sundhed, bæredygtighed, kvalitet og sikkerhed.
Bælgfrugter
Her kan du bl.a. læse om ernæring, sundhed, bæredygtighed, kvalitet og fødevaresikkerhed.
Kartofler
Her kan du bl.a. læse om ernæring, sundhed, bæredygtighed, tilberedning og smag, kvalitet og sikkerhed samt om kartoflens historie og opbygning.