Danskernes indtag af mælk og mælkeprodukter
10. marts 2026
Den nationale undersøgelse af danskernes kost og fysiske aktivitet, også kaldet DANSDA, giver indblik i danskernes kostvaner for perioden 2021-2024. Undersøgelsen viser, hvad vi spiser, hvilke næringsstoffer vi får, og hvordan kostvanerne varierer på tværs af befolkningen. I denne artikel dykker vi ned i mejeriprodukter.
Indhold
Danskernes indtag af mælk og mælkeprodukter
Oversigt over indtag af forskellige mejeriprodukter
Karakteristika af personer med lavt, middel og højt indtag af mejeriprodukter
Udvikling af mejeriproduktsindtag over tid
Her kan du læse mere om Danskernes kostvaner 2021-2024
Danskernes indtag af mælk og mælkeprodukter
De nyeste tal fra DANSDA 2021-2024 viser, at mælk og mælkeprodukter, i stor udstrækning, indgår i danskernes kost. Mælk og mælkeprodukter omfatter alle slags mælk (sød-, let-, mini-, skummet-, kærne- og kakaomælk), diverse surmælksprodukter samt fløde.
Det mediane indtag (g /10 MJ) er:
- Børn 4-10 år: 207 g /10 MJ
- Unge 11-17 år: 162 g /10 MJ
- Voksne 18-80 år: 176 g /10 MJ

Kilde: DTU Fødevareinstituttet - Danskernes Kostvaner 2021-2024, tabel 4.2
NB: Der anvendes medianværdier, da medianen beskriver den typiske dansker bedre end gennemsnittet, når data er skævt fordelt - hvilket kostdata næsten altid er
Som det fremgår af medianindtaget på tværs af kønnene, indtager børn væsentligt flere mælk og mælkeprodukter sammenlignet med unge og voksne.
Et glas mælk svarer til 200–250 ml (ca. 200–250 g), og det betyder, at børn drikker lidt over ét glas mælk dagligt baseret på medianen. Unge og voksne drikker, hvad der svarer til drikker omtrent tre kvart glas om dagen.
Blandt børn har drenge i alderen 4–10 år det højeste indtag med 243 g /10 MJ som median, mens piger i samme aldersgruppe ligger noget lavere med et medianindtag på 158 g /10 MJ. For unge ses der et fald i indtaget hos begge køn: drenge mellem 11 og 17 år har et medianindtag på 233 g /10 MJ, mens piger i samme alder ligger markant lavere med 126 g /10 MJ som median, hvilket er det laveste indtag på tværs af både køn og alder. Hos voksne fortsætter tendensen med faldende indtag. Voksne kvinder og mænd (18-80 år) har meget ens medianindtag med hhv. 176 og 175 g /10 MJ.
Oversigt over indtag af forskellige mejeriprodukter
Som tillæg til DANSDA 2021-2024 er der blevet lavet en supplerende rapport; Analyse af indtag og næringsstofbidrag fra mejeriprodukter, som giver en dybdegående analyse af danskernes indtag af de forskellige mejeriprodukter på tværs af alder og køn.
Nedenunder gennemgås resultaterne for indtag af forskellige mejeriprodukter hos børn (4-14 år), unge (15-24 år), yngre voksne (25-50 år) og ældre voksne (51-80 år).
De nyeste resultater fra rapporten viser, at kvinder samlet set har det højeste indtag af mejeriprodukter. Kvinder indtager i 277 g /10 MJ, mens mænd ligger på 250 g /10 MJ som median. Hos børn (4-14 år) og unge (15-24 år) ses dog et andet mønster: her har drenge et højere samlet indtag end piger, hvorefter forholdet vender i voksenlivet (+25 år), hvor kvinderne har et markant højere niveau end mændene.
Ser man på medianindtaget (g /10 MJ) for hver aldersgruppe, ligger indtaget på:
- Børn 4-14 år: 303 g /10 MJ
- Unge 15-24 år: 239 g /10 MJ
- Voksne 25-50 år: 253 g /10 MJ
- Voksne 51-80 år: 276 g /10 MJ

Kilde: DTU Fødevareinstituttet - Analyse af indtag og næringsstofbidrag fra mejeriprodukter, tabel 2
NB: Der anvendes medianværdier, da medianen beskriver den typiske dansker bedre end gennemsnittet, når data er skævt fordelt - hvilket kostdata næsten altid er
Udviklingen gennem livet viser tydelige forskelle mellem kønnene. I barndommen har drenge det højeste mejeriindtag af alle grupper med 337 g /10 MJ, drevet især af et stort mælkeforbrug. Selvom de drikker mere mælk end pigerne, ligger de lavere i de øvrige mejerikategorier. Pigerne følger tæt efter med et medianindtag på 266 g /10 MJ.
I ungdomsårene sker der et markant fald - særligt blandt drenge, hvor indtaget falder til 263 g /10 MJ. Ungdomsgruppen (15-24 år) har i det hele taget det laveste samlede mejeriindtag med 239 g /10 MJ, blandt andet fordi både smør- og blandingsprodukter og surmælksprodukter ligger lavt. Hos piger og unge kvinder ses et tilsvarende fald fra barndommens 266 g /10 MJ til 230 g /10 MJ i alderen 15-24 år.
I voksenlivet fortsætter udviklingen forskelligt for mænd og kvinder. Mændenes indtag forbliver relativt stabilt på et lavere niveau med 231 g /10 MJ i alderen 25-50 år og 243 g /10 MJ blandt de 51-80-årige. For kvinder ses der derimod en tydelig stigning gennem voksenlivet: fra et indtag på 275 g /10 MJ blandt de 25-50-årige til 310 g /10 MJ i aldersgruppen 51-80 år. Stigningen skyldes især et øget forbrug af surmælksprodukter, madlavningsprodukter og ost. Det samlede resultat er, at kvinder i voksenlivet har det højeste totale mejeriindtag, mens både mænd topper deres indtag i barndommen.
Mælk (herunder mælk med forskellige fedtindhold samt mælkepulver) spiller en central rolle i mange danskeres kost, og forbruget varierer både mellem aldersgrupper og køn. De nyeste tal fra rapporten viser, at indtaget falder væsentligt fra barn til ungdom og voksenalderen.
Det mediane indtag (g /10 MJ) er:
- Børn 4-14 år: 183 g /10 MJ
- Unge 15-24 år: 118 g /10 MJ
- Voksne 25-50 år: 112 g /10 MJ
- Voksne 51-80 år: 112 g /10 MJ

Kilde: DTU Fødevareinstituttet - Analyse af indtag og næringsstofbidrag fra mejeriprodukter, tabel 2
NB: Der anvendes medianværdier, da medianen beskriver den typiske dansker bedre end gennemsnittet, når data er skævt fordelt - hvilket kostdata næsten altid er
Børn indtager næsten svarende til lidt over 1/2 glas mælk (1 glas er 200-250 ml eller ca. 200-250 gram), mens unge og voksnes medianindtag er svarende til under 1/2 glas dagligt.
Drenge (4-14 år) har det væsentlig største medianindtag af mælk i kosten på 213 g /10 MJ, men med alderen ser vi et stort fald. Den næste aldersgruppe (drenge 15-24 år), har et indtag af mælk på 124 g /10 MJ.
Voksne mænd (51-80 år) har det laveste indhold af mælk i kosten på 104 g /10 MJ efterfulgt af mænd (25-50 år) og unge piger (15-24 år), med medianindtag på hhv. 110 og 111 g /10 MJ. Totalt udligner forskellen mellem kønnene sig i løbet af årene.
Produktgruppen syrnede mælkeprodukter består af A38, græsk yoghurt, kvark, kefir, skyr, ylette, yoghurt og kærnemælk. Disse er en fast del af danskernes kost, men indtaget varierer markant på tværs af alder og køn. De nyeste resultater fra rapporten viser, at kvinder har et markant højere medianindtag af syrnede mælkeprodukter (21 g /10 MJ) end mænd (9 g /10 MJ). De unge (15–24 år) har det laveste indtag (9 g /10 MJ) på tværs af alle grupper.
Det mediane indtag (g /10 MJ) er:
- Børn 4-14 år: 16 g /10 MJ
- Unge 15-24 år: 9 g /10 MJ
- Voksne 25-50 år: 13 g /10 MJ
- Voksne 51-80 år: 18 g /10 MJ

Kilde: DTU Fødevareinstituttet - Analyse af indtag og næringsstofbidrag fra mejeriprodukter, tabel 2
NB: Der anvendes medianværdier, da medianen beskriver den typiske dansker bedre end gennemsnittet, når data er skævt fordelt - hvilket kostdata næsten altid er
For kvinder er udviklingen særligt markant. I barndommen ligger medianindtaget på 19 g /10 MJ, hvorefter det falder til 10 g /10 MJ i ungdomsårene. Herefter stiger indtaget igen til 20 g /10 MJ blandt voksne kvinder og topper i aldersgruppen 51-80 år med 34 g /10 MJ, hvilket er den højeste median i hele befolkningen.
Hos mænd er indtaget af syrnede mælkeprodukter på et lavere niveau og uden samme markante ændringer imellem aldersgrupper. Det højeste indtag findes hos drengene (4-14 år) på 12 g /10 MJ, mens laveste indtag findes blandt unge mænd (15-24 år) på 7 g /10 MJ. Yngre voksne mænd (25-50 år) og ældre voksne mænd (51-80 år) begge ligger omkring 8 g /10 MJ som medianindtag.
Data fra rapporten viser, at ost fortsat er en fast del af danskernes kostvaner, og med få forskelle på tværs af alder og køn. Når kønnene sammenlignes på tværs af alderskategorierne, ses et let højere indtag af ost hos kvinderne, hhv. 43 g /10 MJ og 39 g /10 MJ for kvinder og mænd.
Denne tendens afspejles i samtlige alderskategorier, hvor kvinderne har et let forhøjet indtaget relativt til mændene.
Det mediane indtag (g /10 MJ) er:
- Børn 4-14 år: 33 g /10 MJ
- Unge 15-24 år: 42 g /10 MJ
- Voksne 25-50 år: 42 g /10 MJ
- Voksne 51-80 år: 44 g /10 MJ

Kilde: DTU Fødevareinstituttet - Analyse af indtag og næringsstofbidrag fra mejeriprodukter, tabel 2
NB: Der anvendes medianværdier, da medianen beskriver den typiske dansker bedre end gennemsnittet, når data er skævt fordelt - hvilket kostdata næsten altid er
Mellem barndom og ungdom forekommer en markant stigning i det mediane indtag for kønnene, fra 33 g /10 MJ til 42 g /10 MJ, hvorefter indtaget ikke ændres betydeligt mod voksenalderen og alderdom med hhv. 42 g /10 MJ og 44 g /10 MJ.
Begge køn har det laveste medianindtag i barndommen med drenge på 33 g /10 MJ og piger på 35 g /10 MJ, hvilket følger tendensen i forskudt indtag mellem kønnene.
Dette fortsætter i voksnes indtag, hvor kvinderne, med medianindtag på 44 og 46 g /10 MJ for hhv. 25-50 årige og 51-80 årige, overgår mændenes indtag på 40 og 42 g /10 MJ i samme alderskategorier og er de højeste på tværs af køn og alder.
Madlavningsprodukter og tilbehør omfatter syrnet fløde, creme fraiche, fløde og piskefløde, og anvendes bredt i danskernes køkken, men de seneste data viser, at forbruget varierer sig mellem både alder og køn.
De nyeste tal illustrerer en tendens mellem kønnene på tværs af alle alderskategorier, hvor madlavningsprodukter og tilbehør i højere grad fremgår i kvindernes kost med et medianindtag på 13 g /10 MJ mod mænds indtag på 11 g/10MJ.
Medianindtaget på tværs af køn ift. kosten (g /10 MJ)
- Børn 4-14 år: 8 g /10 MJ
- Unge 15-24 år: 10 g /10 MJ
- Voksne 25-50 år: 14 g /10 MJ
- Ældre 51-80 år: 13 g /10 MJ

Kilde: DTU Fødevareinstituttet - Analyse af indtag og næringsstofbidrag fra mejeriprodukter, tabel 2
NB: Der anvendes medianværdier, da medianen beskriver den typiske dansker bedre end gennemsnittet, når data er skævt fordelt - hvilket kostdata næsten altid er
I denne mejerigruppe stiger indtaget igennem livet med det laveste indtag hos børnene med 7 og 9 g /10 MJ for drenge og piger sammen med unge drenge på 9 g /10 MJ.
Indtaget stiger mod voksenalderen, hvor der hos begge køn findes en markant stigning mellem unge (15-24 år) og voksne (25-50 år). Mændenes indtag ikke ændrer sig mellem de to voksenkategorier, hvor voksne kvinder, med 14 g /10 MJ for kvinder (51-80 år) og 15 g /10 MJ for kvinder (25-50 år), har de højeste indtag.
Selvom indtaget af smør- og blandingsprodukter viser visse variationer mellem alder og køn, ligger indtaget på nogenlunde samme niveau. Ifølge tallene fra rapporten har mænd og kvinder i de voksne alderskategorier (25-20 år og 51-80 år) samme medianindtag af smør- og blandingsprodukter.
Det mediane indtag (g /10 MJ) er:
- Børn 4-14 år: 9 g /10 MJ
- Unge 15-24 år: 7 g /10 MJ
- Voksne 25-50 år: 8 g /10 MJ
- Voksne 51-80 år: 9 g /10 MJ

Kilde: DTU Fødevareinstituttet - Analyse af indtag og næringsstofbidrag fra mejeriprodukter, tabel 2
NB: Der anvendes medianværdier, da medianen beskriver den typiske dansker bedre end gennemsnittet, når data er skævt fordelt - hvilket kostdata næsten altid er
I barndommen ses kun små forskelle i indtaget mellem kønnene. Piger i alderen 4-14 år har et medianindtag på 10 g /10 MJ, mens drenge i samme aldersgruppe ligger på 9 g /10 MJ.
I ungdomsårene (15-24 år) fortsætter det samme mønster. Pigerne har et indtag på 8 g /10 MJ, og drengene ligger lavere med 6 g /10 MJ. De unge drenge adskiller sig samtidig ved at have det laveste indtag på tværs af alle aldersgrupper.
Begge voksne grupper (25-50 år og 51-80 år) har stabile indtag på 8 g /10 MJ og 9 g /10 MJ for for begge køn i aldersgrupperne.
Indtaget af søde mælkedrikke, herunder kakaomælk og milkshake, skiller sig tydeligt ud fra andre mejerikategorier. Da indtaget af søde mælkedrikke generelt var lavt, fremgår ikke i en almen kost hos danskerne, og der kan derfor ikke observeres forskelle mellem køn eller livsfaser.
Medianindtaget (g /10 MJ) for søde mælkedrikke er:
- Børn 4-14 år: 0 g /10 MJ
- Unge 15-24 år: 0 g /10 MJ
- Voksne 25-50 år: 0 g /10 MJ
- Voksne 51-80 år: 0 g /10 MJ

Kilde: DTU Fødevareinstituttet - Analyse af indtag og næringsstofbidrag fra mejeriprodukter, tabel 2
NB: Der anvendes medianværdier, da medianen beskriver den typiske dansker bedre end gennemsnittet, når data er skævt fordelt - hvilket kostdata næsten altid er
Det tyder på, at mindst halvdelen af danskernes ikke har et indtag af søde mælkedrikke. De målte indtag af søde mælkedrikke bliver gennemgået dybere under afsnittet: Lavt, middel og højt indtag af søde mælkedrikke.
Karakteristika af personer med lavt, middel og højt indtag af mejeriprodukter
DANSDA 2021‑2024 og rapporten 'Analyse af indtag og næringsstofsbidrag fra mejeriprodukter' viser, at danskerne har meget forskellige vaner, når det kommer til mælk og mejeriprodukter. Ved at se på percentilerne kan man opdele befolkningen i tre tydelige indtagsgrupper: lavt, middel og højt indtag. Denne opdeling giver et klart billede af, hvordan mælk og mejeriprodukter indgår i forskellige kostmønstre på tværs af alder og køn.
Tabellen her viser kostens indhold af mejeriprodukter, g /10 MJ (Gennemsnit, spredning, median og percentiler).

Kilde: DTU Fødevareinstituttet - Danskernes Kostvaner 2021-2024, tabel 4.2
Personer med lavt indtag af mejeriprodukter (ca. 20 % af befolkningen)
Medianen for denne gruppes daglige indtag af mejeriprodukter er:
- 4–14 år: 121–167 g /10 MJ
- 15–80 år: 94–150 g /10 MJ
Børn (4–14 år) med lavt mejeriindtag er generelt ældre end børn i de andre indtagsgrupper. Gruppen består oftere af piger og børn fra husholdninger med én voksen. Blandt unge og voksne ses en større andel mænd og en lavere medianalder i lavindtagsgruppen sammenlignet med højindtagsgrupperne. Gruppen har blandt voksne det største mediane taljemål, men samtidig færre tilfælde af svær overvægt.
Personer med middel indtag af mejeriprodukter (ca. 50 % af befolkningen)
Medianen for denne gruppes daglige indtag af mejeriprodukter er:
- 4–14 år: 244–362 g /10 MJ
- 15–80 år: 217–309 g /10 MJ
Børn i middelindtagsgruppen adskiller sig ikke markant fra lav- og højindtagsgrupperne. Det samme mønster findes i gruppens unge og voksne, som placerer sig mellem lav- og højindtagsgrupperne på alle parametre.
Personer med højt indtag af mejeriprodukter (ca. 20 % af befolkningen)
Medianen for denne gruppes daglige indtag af mejeriprodukter er:
- 4–14 år: 493–660 g /10 MJ
- 15–80 år: 418–575 g /10 MJ
Børn med højt mejeriindtag er typisk yngre og oftere drenge end i de andre grupper. Gruppen består også i højere grad af børn fra husholdninger med flere voksne, og der ses samtidig en større forekomst af svær overvægt blandt børn i denne gruppe. Hos voksne er der en større andel kvinder samt en højere medianalder sammenlignet med lav- og middelindtagsgruppen.
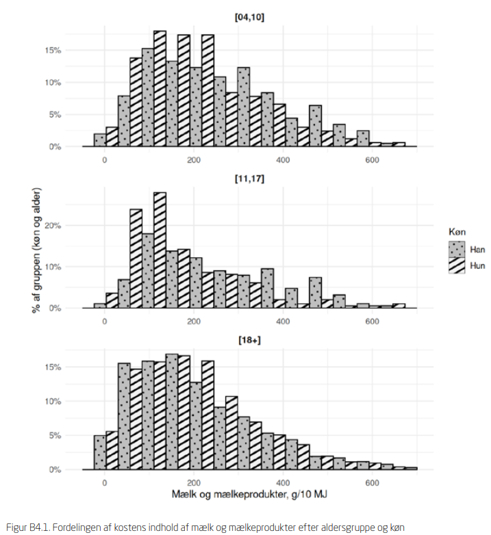
Forskelle i mejeriindtag mellem køn og aldersgrupper
Nedenstående histogram viser procentvis, hvordan indtaget fordeler sig i aldersgrupperne fordelt på kønnene. X-aksen viser den indtaget mængde af mælk og mælkeprodukter pr. 10 MJ, mens y-aksen viser den procentvise fordeling af indtaget i de tre aldersgrupper 4-10 år, 11-17 år og 18-80 år.

Kilde: DTU Fødevareinstituttet - Danskernes Kostvaner 2021-2024, figur B4.1
Alle tre aldersgrupper er forskudt mod venstre, hvilket betyder at der er en højere procentdel af grupperne, der har et indtag omkring eller under 200 g /10 MJ. Både mænd og kvinder har samme mønster i hvordan personerne fordeler sig procentvis over de forskellige indtag.
De stiplede søjler, der repræsenterer piger og kvinder, viser en tendens blandt børn (4-10 år) og unge (11-17 år), hvor pigerne ligger i den lave ende af indtaget sammenlignet med drenge. Drengenes prikkede søjler viser dertil at fordelingen af indtag i gruppen er mere lige fordelt..
Hos de voksne ses en mindre markant forskel mellem de prikkede (mænd) og stribede (kvinder), på nær indtag mellem 200 og 300 g /10 MJ, hvor kvindernes indtag er tydeligt højere og der derfor er en højere procentandel af kvindernes gruppen, der har dette indtag.
Personer med lavt indtag af mælk (ca. 20 % af befolkningen)
Medianen for denne gruppes daglige indtag af mælk er:
- 4–14 år: 27–67 g/10 MJ
- 15–80 år: 12–15 g/10 MJ
Dette svarer til op til 1/3 glas mælk (200 ml) for børn i denne gruppe, og kun svarende til en skefuld (15 ml) for voksne i den høje ende af gruppen.
Børn med lavt indtag er oftere piger, og gruppen består generelt af yngre børn. De kommer hyppigere fra husholdninger med én voksen. Blandt unge og voksne ses ingen forskel i kønsfordelingen. Gruppen består primært af ældre voksne, som oftere bor i husholdninger med flere voksne uden børn. Voksne med lavt indtag har et større taljemål og en højere forekomst af svær overvægt, mens andelen af normalvægtige er lavere sammenlignet med øvrige grupper.
Personer med middel indtag af mælk (ca. 50 % af befolkningen)
Medianen for denne gruppes daglige indtag af mælk er:
- 4–14 år: 123–243 g/10 MJ
- 15–80 år: 79–159 g/10 MJ
Det svarer til ½-1 glas mælk for børnegruppen, mens voksengruppen indtager under ½ glas for den lave ende, mens den høje indtager lige under 1 glas i den høje ende.
Børn med et mellemstort indtag er oftere drenge og bor oftere i husholdninger med flere voksne og børn. For unge og voksne ses ingen kønsforskel; gruppen består primært af yngre voksne og har en større andel, der aldrig har røget. På øvrige sundhedsparametre adskiller gruppen sig ikke væsentligt fra personer med højt indtag.
Personer med højt indtag af mælk (ca. 20 % af befolkningen)
Medianen for denne gruppes daglige indtag af mælk er:
- 4–14 år: 372–557 g/10 MJ
- 15–80 år: 257–412 g/10 MJ
Det svarer til 1 ½ glas mælk for børnenes lave ende, men højt indtag i denne gruppe indtager svarende til mere end 2 glas dagligt. Børn med højt indtag er hyppigere drenge, har lidt højere alder og bor oftere i husholdninger med flere voksne og børn. Voksne, i den lave ende, indtager svarende til mere end 1 glas, mens voksne, i den høje ende, indtager omkring 2 glas af 200 ml. Blandt unge og voksne ses ingen kønsforskel, og gruppen består primært af ældre voksne med en større andel aldrig rygere. På andre sundhedsparametre ligner gruppen personer med mellemstort indtag.
Personer med lavt indtag syrnede mælkeprodukter (ca. 20 % af befolkningen)
Medianen for denne gruppes daglige indtag af syrnede mælkeprodukter er:
- 4–14 år: 2–7 g /10 MJ
- 15–80 år: 1–4 g /10 MJ
Hos børn er der en jævn fordeling mellem drenge og piger, og hverken alder eller husholdningstype har betydning. Børn i denne gruppe har oftere et større taljemål. Blandt unge og voksne er der en større andel mænd og flere rygere. Gruppen har markant højere taljemål og BMI samt en højere forekomst af svær overvægt og en lavere andel normalvægtige sammenlignet med grupper med højere indtag.
Personer med middel indtag af syrnede mælkeprodukter (ca. 50 % af befolkningen)
Medianen for denne gruppes daglige indtag af syrnede mælkeprodukter er:
- 4–14 år: 16–40 g /10 MJ
- 15–80 år: 17–68 g /10 MJ
Hos børnene er kønsfordelingen jævn, og alder samt husholdningsform har ingen signifikant betydning for indtaget. Hos unge og voksne ses en større andel kvinder, færre fra husholdninger med én voksen uden børn og flere fra husholdninger med flere voksne med børn eller ”andet”. Voksne i denne gruppe har et lavere taljemål.
Personer med højt indtag syrnede mælkeprodukter (ca. 20 % af befolkningen)
Medianen for denne gruppes daglige indtag af syrnede mælkeprodukter er:
- 4–14 år: 77–153 g /10 MJ
- 15–80 år: 140–256 g /10 MJ
Hos børn er kønsfordelingen jævn, og alder samt husholdningsform har ingen betydning for indtaget. Børn i højgruppen har et signifikant mindre taljemål end børn i lavgruppen. Blandt unge og voksne er der en større andel kvinder, og gruppen består oftere af personer i husholdninger med én voksen uden børn. De har lavere taljemål og BMI samt en lavere forekomst af svær overvægt end lavindtagsgruppen.
Personer med lavt indtag af ost (ca. 20 % af befolkningen)
Medianen for denne gruppes daglige indtag af ost er:
- 4–14 år: 9–18 g /10 MJ
- 15–80 år: 11–22 g /10 MJ
Børn i lavindtagsgruppen er lidt yngre sammenlignet med de andre grupper, mens køn, forældrestatus og husholdningstype har ingen betydning. Blandt unge og voksne er der en større andel mænd samt flere uden uddannelse eller under uddannelse.
For personer med et lavt indtag af ost svarer det daglige forbrug i snit til mellem ½ skive (ca. 10 g) og 1 skive (ca. 20 g) ost om dagen.
Personer med middel indtag af ost (ca. 50 % af befolkningen)
Medianen for denne gruppes daglige indtag af ost er:
- 4–14 år: 28–41 g /10 MJ
- 15–80 år: 35–53 g /10 MJ
Hos børn har køn, forældrestatus og husholdningstype ingen betydning. For unge og voksne består middelgruppen oftere af yngre personer, en større andel kvinder samt flere under uddannelse eller med videregående uddannelse. De bor sjældnere i husholdninger med én voksen uden børn, og fysisk adskiller børn og voksne i gruppen sig ikke markant fra de andre indtagsgrupper.
I middelgruppen ligger det daglige indtag for børn typisk mellem 1 og 2 skiver ost, for unge og voksne er indtaget svarende til 1½ skiver til 2½ skiver dagligt.
Personer med højt indtag af ost (ca. 20 % af befolkningen)
Medianen for denne gruppes daglige indtag af ost er:
- 4–14 år: 55–80 g /10 MJ
- 15–80 år: 72–101 g /10 MJ
Børn viser ingen forskelle i køn, forældrestatus eller husholdningstype. Hos unge og voksne er der en større andel kvinder og flere med videregående uddannelse.
Børn i denne gruppe spiser typisk mellem 2½ og 4 skiver ost om dagen, unge og voksne spiser mellem 3½ og 5 skiver dagligt.
Personer med lavt indtag af madlavningsprodukter og tilbehør (ca. 20 % af befolkningen)
Medianen for denne gruppes daglige indtag af mejeriprodukter er:
- 4–14 år: 1–3 g /10 MJ
- 15–80 år: 2–5 g /10 MJ
Børn i lavgruppen er yngre, og køn og husholdningstype har ingen betydning. Hos unge og voksne består gruppen primært af mænd, og færre bor i husholdninger med flere voksne og børn.
Personer med middel indtag af madlavningsprodukter og tilbehør (ca. 50 % af befolkningen)
Medianen for denne gruppes daglige indtag af madlavningsprodukter og tilbehør:
- 4–14 år: 7–14 g /10 MJ
- 15–80 år: 10–18 g /10 MJ
Børn påvirkes ikke af køn eller husholdningstype. Blandt unge og voksne ses en større andel i husholdninger med flere voksne med børn.
Personer med højt indtag af madlavningsprodukter og tilbehør (ca. 20 % af befolkningen)
Medianen for denne gruppes daglige indtag af madlavningsprodukter og tilbehør:
- 4–14 år: 21–32 g /10 MJ
- 15–80 år: 28–42 g /10 MJ
Hos børn ses ingen forskelle mellem grupperne. Blandt unge og voksne ses en større andel fra husholdninger med flere voksne og børn.
Personer med lavt indtag smør- og blandingsprodukter (ca. 20 % af befolkningen)
Medianen for denne gruppes daglige indtag af smør- og blandingsprodukter:
- 4–14 år: 2–4 g /10 MJ
- 15–80 år: 2–4 g /10 MJ
Børn i lavgruppen bor oftere i husholdninger med én voksen. Hos unge og voksne er der en større andel mænd og flere aldrig rygere, og færre bor i husholdninger med flere voksne med børn. Gruppen har lavere taljemål og BMI og en lavere forekomst af svær overvægt og hypertension.
Personer med middel indtag smør og blandingsprodukter (ca. 50 % af befolkningen)
Medianen for denne gruppes daglige indtag af smør- og blandingsprodukter:
- 4–14 år: 8–12 g /10 MJ
- 15–80 år: 6–10 g /10 MJ
Børn er generelt lidt ældre. Blandt voksne ses en større andel kvinder, flere aldrig rygere, og en højere forekomst af husholdninger med flere voksne og børn. Medianalderen er lavere.
Personer med højt indtag smør- og blandingsprodukter (ca. 20 % af befolkningen)
Medianen for denne gruppes daglige indtag af smør- og blandingsprodukter:
- 4–14 år: 16–22 g /10 MJ
- 15–80 år: 15–22 g /10 MJ
Børn er generelt yngre, men kønsfordelingen er ens. Hos unge og voksne er der en større andel mænd, flere tidligere rygere og færre aldrig rygere. Gruppen har højere medianalder, større taljemål og BMI samt en højere forekomst af svær overvægt og hypertension.
Personer med lavt indtag af søde mælkedrikke (ca. 20 % af befolkningen)
Medianen for denne gruppes daglige indtag af søde mælkedrikke:
- 4–14 år: 1 g /10 MJ
- 15–80 år: 0–1 g /10 MJ
Børn har ingen særlige karakteristika. Hos unge og voksne ses en højere alder og flere med videregående uddannelse. Gruppen har en lavere forekomst af svær overvægt og lavere taljemål.
Personer med middel indtag af søde mælkedrikke (ca. 50 % af befolkningen)
Medianen for denne gruppes daglige indtag af søde mælkedrikke:
- 4–14 år: 3–34 g /10 MJ
- 15–80 år: 2–25 g /10 MJ
Børn adskiller sig ikke fra andre grupper. Blandt voksne er der færre i husholdninger med én voksen med børn. Gruppen har det største taljemål og en højere forekomst af svær overvægt end lavindtagsgruppen.
Personer med højt indtag af søde mælkedrikke (ca. 20 % af befolkningen)
Medianen for denne gruppes daglige indtag af søde mælkedrikke:
- 4–14 år: 61–106 g /10 MJ
- 15–80 år: 47–97 g /10 MJ
Børn har ingen markante karakteristika. Blandt unge og voksne ses en lavere alder, en større andel uden uddannelse og flere fra husholdninger med én voksen med børn.
Udvikling af mejeriproduktsindtag over tid
I dette afsnit kigger vi på udviklingen af indtaget af mejeriprodukter over tid. Data bygger på vægtede resultater fra kostundersøgelsen fra 2011-2013 samt 2021-2024. Fødevaregrupperne er justeret i kostundersøgelsen 2011‑2013, så de matcher inddelingen i undersøgelsen 2021‑2024.
Indtaget er beregnet pr. 10 MJ og opdelt i tre aldersgrupper: 4‑10 år, 11‑17 år og 18‑75 år, og for henholdsvis drenge/mænd og piger/kvinder. I 2011‑2013 går voksenkategorien kun op til og med 75 år, hvilket derfor også anvendes i denne beskrivelse af ændringer.
Signifikante forskelle (p<0,001) er markeret med * i diagrammet.
Udvikling i mælkeprodukter
Der ses et signifikant fald i indtaget af mælk og mælkeprodukter på tværs af alle aldersgrupper.

Kilde: DTU Fødevareinstituttet - Danskernes Kostvaner 2021-2024, tabel 8.1
NB: Der anvendes medianværdier, da medianen beskriver den typiske dansker bedre end gennemsnittet, når data er skævt fordelt - hvilket kostdata næsten altid er
Som det fremgår i diagrammet, er indtaget af mælk og mælkeprodukter er faldet markant – særligt blandt børn og unge.
- Hos de yngste ses et tydeligt fald i forbruget. I aldersgruppen 4–14 år er indtaget reduceret med 45 % sammenlignet med den tidligere undersøgelse fra 2011-13.
- Blandt unge (11-17 år) er udviklingen endnu mere markant. Her er forbruget på tværs af køn næsten halveret med et fald på 51 %. Piger i alderen 11–17 år skiller sig særligt ud med den største reduktion på hele 58 %, mens reduktionen i drengenes også er markant med 44% nedgang.
- Hos voksne (18-75 år) er nedgangen mindre, men stadig betydelig. Indtaget er faldet med 30 % samlet, svarende til omtrent en tredjedel. For kvinder ses en moderat reduktion på 27 % over de seneste ti år, mens mændenes indtag er reduceret med 31 % over det sidste årti.
Det tegner et samlet billede af, at mælk og mælkeprodukter har gennemgået en større tilbagegang i anvendelse hos danskerne, hvor piger i alderen 4-17 år har halveret deres indtag i løbet af det sidste årti.

Kilde: DTU Fødevareinstituttet - Danskernes Kostvaner 2021-2024, tabel 8.1
Udvikling i ost og osteprodukter
Indtaget af ost og osteprodukter er generelt steget markant på tværs af aldersgrupper. For halvdelen af grupperne ligger stigningerne mellem 51 % og 65 %.

Kilde: DTU Fødevareinstituttet - Danskernes Kostvaner 2021-2024, tabel 8.2
NB: Der anvendes medianværdier, da medianen beskriver den typiske dansker bedre end gennemsnittet, når data er skævt fordelt - hvilket kostdata næsten altid er
Som det fremgår i diagrammet, er indtaget af ost og osteprodukter steget i alle aldersgrupper.
- De største ændringer ses blandt de yngste (4-10 år). Her er indtaget steget med 60 %. Drengene trækker indtaget op med en stigning på 81 %, mens pigerne ligger lavere med en stigning på 42 %.
- Også blandt unge (11-17 år) er udviklingen tydelig med en samlet stigning på 54 %. Igen trækker drengene stigningen op med 65 %, mens pigernes 51 % også er en markant udvikling i osteindtaget.
- Blandt voksne (18-75 år) er stigningen mere moderat og ligger på 16 %, med hhv. 14 % og 16 % stigning for kvinder og mænd, hvilket er de laveste stigninger på tværs af aldre.
Samlet set peger tallene på, at drenge og mænd står for de største stigninger i indtaget af ost og osteprodukter, mens udviklingen blandt piger og kvinder er mere moderat.

Kilde: DTU Fødevareinstituttet - Danskernes Kostvaner 2021-2024, tabel 8.2
Læs mere om mælk og mejeriprodukter her...
Måske er du også interesseret i disse fødevarer...
Kød
Her kan du bl.a. læse om ernæring, sundhed, bæredygtighed, dyrevelfærd, tilberedning, smag, kvalitet og sikkerhed.
Æg
Her kan du bl.a. læse om ernæring, sundhed, bæredygtighed, dyrevelfærd, kvalitet og fødevaresikkerhed samt om æggets opbygning.
Fisk
Her kan du bl.a. læse om ernæring, sundhed, bæredygtighed, dyrevelfærd, kvalitet og sikkerhed.
Frugt og grøntsager
Her kan du bl.a. læse om ernæring, sundhed, bæredygtighed, kvalitet og sikkerhed.
Korn
Her kan du bl.a. læse om ernæring, sundhed, bæredygtighed, kvalitet og sikkerhed.
Bælgfrugter
Her kan du bl.a. læse om ernæring, sundhed, bæredygtighed, kvalitet og fødevaresikkerhed.
Kartofler
Her kan du bl.a. læse om ernæring, sundhed, bæredygtighed, tilberedning og smag, kvalitet og sikkerhed samt om kartoflens historie og opbygning.